• Предмет: Математика
  • Автор: ubermosh92
  • Вопрос задан 8 лет назад

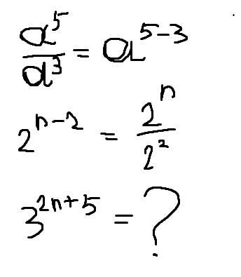
Я знаю то что если в показатели степени стоит минус значит до этого было деление, например: a^5/a^3=a^5-3. Подскажите пожалуйста, что случится с 3^2n+5?

Приложения:

Ответы

Ответ дал: mrkred19
0

Ответ:3^2n*3^5

Пошаговое объяснение:

Вас заинтересует