Ответы
Ответ дал:
0
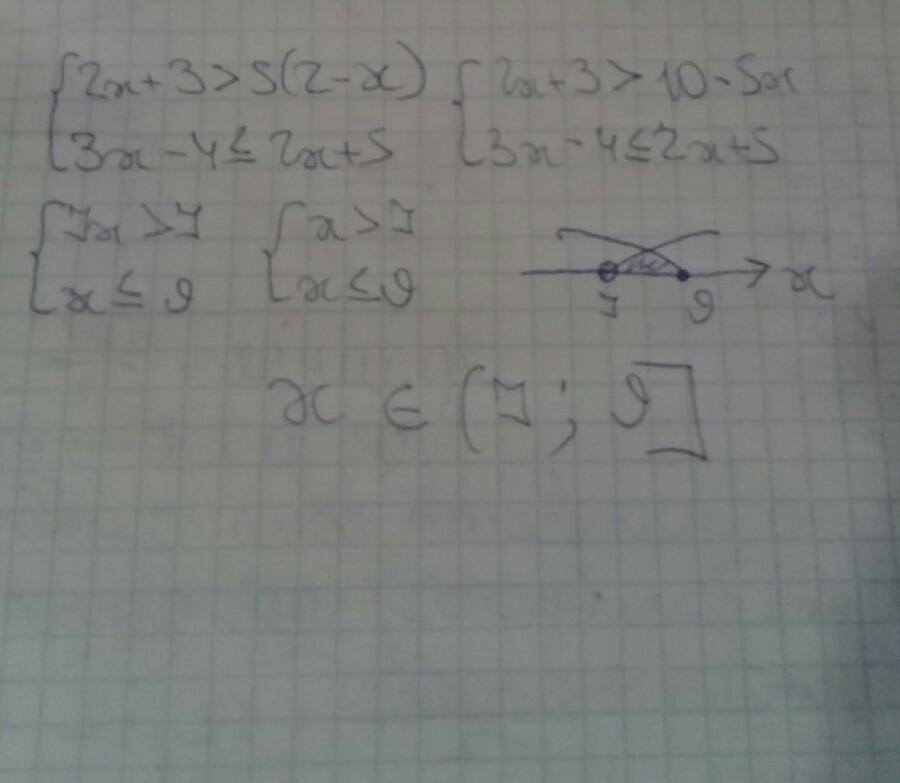
Решение смотри на фото
Приложения:

Ответ дал:
0
А там разве не x>1 ?
Вас заинтересует
2 года назад
2 года назад
3 года назад
3 года назад
8 лет назад
8 лет назад