• Предмет: Математика
  • Автор: Lika48910
  • Вопрос задан 8 лет назад

Решитеееееееееееееееееееееееееееееееее
Распишите подробна на листочке!!!

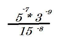
Приложения:

Ответы

Ответ дал: Also1987
0

Ответ:

1 целая 2/3

Пошаговое объяснение:

(5^-7×3^-9)/(3^-8×5^-8)=(3^8×5^8)/(5^7×3^9)=5/3=1 2/3

Вас заинтересует