• Предмет: Алгебра
  • Автор: BuRaTiNo777
  • Вопрос задан 8 лет назад

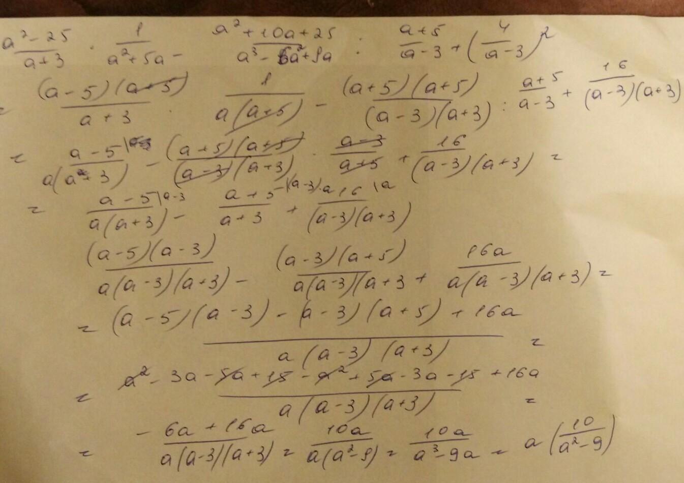
ПОМОГИТЕ ПОЖАЛУЙСТА ДАЮ 50 БАЛОВ. ТОЛЬКО ГДЕ ВЫРАЖЕНИЕ а^3-6а+9а там в место -6а должно быть -6а^2

Приложения:

Ответы

Ответ дал: vydra52
0

Здесь все решение подробно

Приложения:
Ответ дал: BuRaTiNo777
0
Спасибо, очень помог.
Ответ дал: bunsy
0

Ответ:

---------------------------

Приложения:
Ответ дал: BuRaTiNo777
0
Большое спасибо.
Вас заинтересует