• Предмет: Алгебра
  • Автор: lrakitskayap39re1
  • Вопрос задан 8 лет назад

Решите уравнения:
 {5}^{x + 1}  - 3 times  {5}^{x}  = 250
 {4}^{x}  - 3 times  {2}^{x}  = 40Умоляяю​

Ответы

Ответ дал: ruslank1460
0

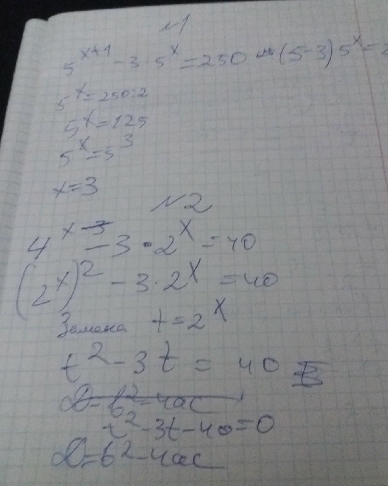
5ˣ⁺¹ - 3·5ˣ = 250;

5·5ˣ - 3·5ˣ = 250;

2·5ˣ = 250;

5ˣ = 125;

x = 3.

Ответ: 3

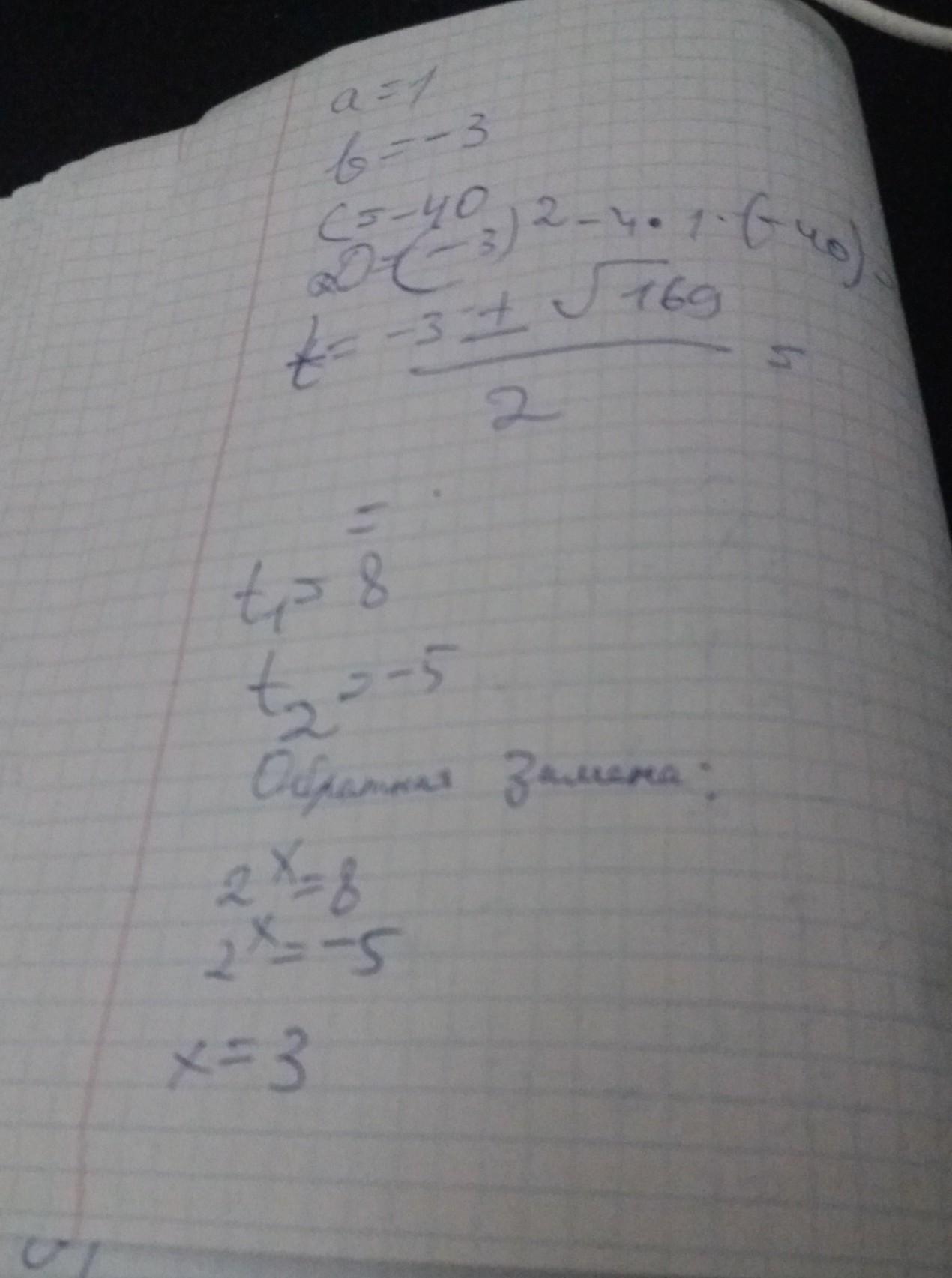
4ˣ - 3·2ˣ = 40;

(2ˣ)² - 3·2ˣ = 40;

Замена: 2ˣ = t, t > 0

t² - 3t = 40;

t² - 3t - 40 = 0;

t₁ = 8; t₂ = -5 - не удовлетворяет условие t > 0

Обратная замена:

2ˣ = 8;

x = 3

Ответ: 3.

Ответ дал: lrakitskayap39re1
0
выставлю сейчас езе один вопрос ответьте прошу
Ответ дал: lrakitskayap39re1
0
еще*
Ответ дал: ArsenOO
0
В принципп я могу
Ответ дал: ArsenOO
0

Ответ:

всё во вложении

Приложения:
Вас заинтересует