Ответы
Ответ дал:
0
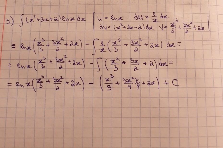
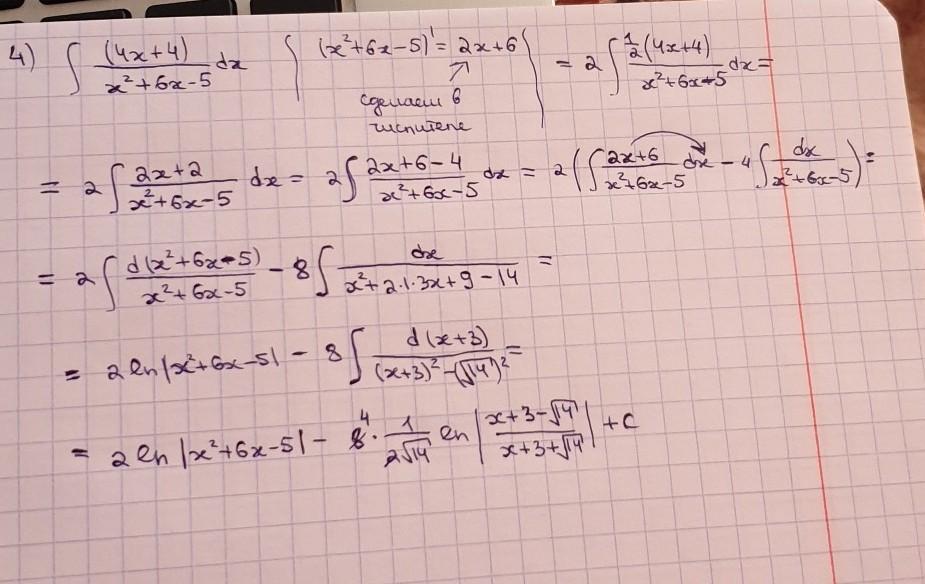
решение на фотографиях
Приложения:


Ответ дал:
0
Спасибо большое
Ответ дал:
0
У меня там ещё интеграл задан был
Ответ дал:
0
внизу в профиле
Ответ дал:
0
Ответ:
=========================================
Пошаговое объяснение:
Приложения:

Ответ дал:
0
Помогите пожалуйста с уравнениями
Вас заинтересует
2 года назад
2 года назад
3 года назад
3 года назад
8 лет назад
9 лет назад