Ответы
Ответ дал:
0
Ответ:
Пошаговое объяснение:
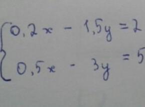
Приложения:

Ответ дал:
0
Спасибо большое!
Ответ дал:
0
ответ не правильный
Вас заинтересует
2 года назад
2 года назад
3 года назад
3 года назад
8 лет назад
9 лет назад