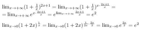
lim стремится к бесконечности lim(1+(1/x))^(2x+1)
lim стремится к 0 lim (1+2x)^(1/x)
Помогите, пожалуйста!
Ответы
Ответ дал:
0
Приложения:

Вас заинтересует
2 года назад
2 года назад
3 года назад
3 года назад
9 лет назад