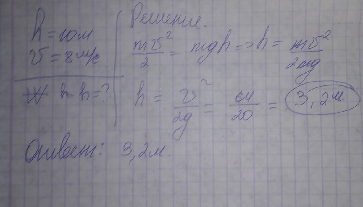
СРОЧНО! ПОЖАЛУЙСТА На якій висоті кінетична енергія вільно падаючого тіла дорівнює його потенціальній енергії, якщо на висоті 10 м швидкість цього тіла дорівнює 8 м/с
Ответы
Ответ дал:
0
Объяснение:
Хз зачем дали высоту, но решилось так...
Приложения:

Вас заинтересует
2 года назад
3 года назад
3 года назад
8 лет назад
8 лет назад
9 лет назад