• Предмет: Алгебра
  • Автор: sonia3sonce
  • Вопрос задан 8 лет назад

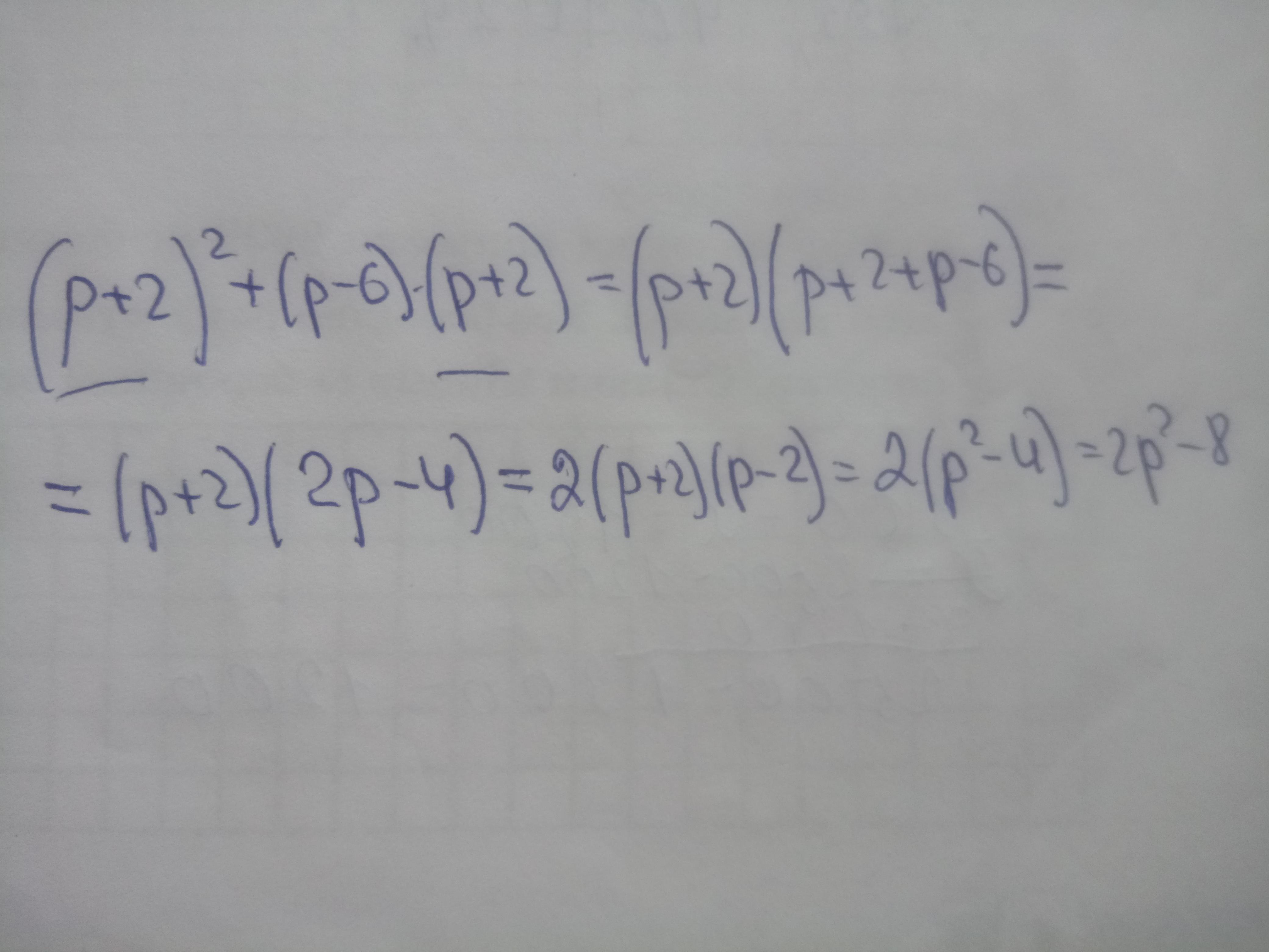
спростіть вираз (р+2)²+(р-6)(р+2)​

Ответы

Ответ дал: millka000054
0

( р + 2 )² + ( р - 6 ) ( р + 2 ) = р² + 4р + 4 + р² + 2р - 6р - 12 = 2р² - 8.

_________________________________

Удачи))))

Ответ дал: valenivan
0

Розв'язання завдання додаю

Приложения:
Вас заинтересует