Ответы
Ответ дал:
0
Ответ:
Объяснение:
Приложения:

Ответ дал:
0
-11/16
Ответ дал:
0
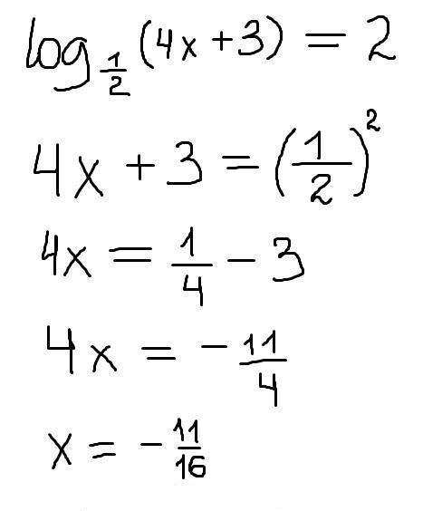
log1/2 (4x+3)=2
1) ОДЗ 4х +3> 0, ⇒ 4x > -3, ⇒ x > -3/4
2) 4x +3 = (1/2)²
4x + 3 = 1/4
4x = 1/4 - 3
4x = -11/4
х = -11/16
Приложения:

Ответ дал:
0
Помогите решить задачу пожалуйста https://znanija.com/task/32513887, желательно с объяснением, если без объяснении , то тоже можете помочь помогите ...Прошу, Вас...
Вас заинтересует
2 года назад
2 года назад
3 года назад
3 года назад
8 лет назад
8 лет назад
9 лет назад