• Предмет: Алгебра
  • Автор: fskabsejejej53
  • Вопрос задан 8 лет назад

решите пожалуйста 442​

Приложения:

Ответы

Ответ дал: kononovae907
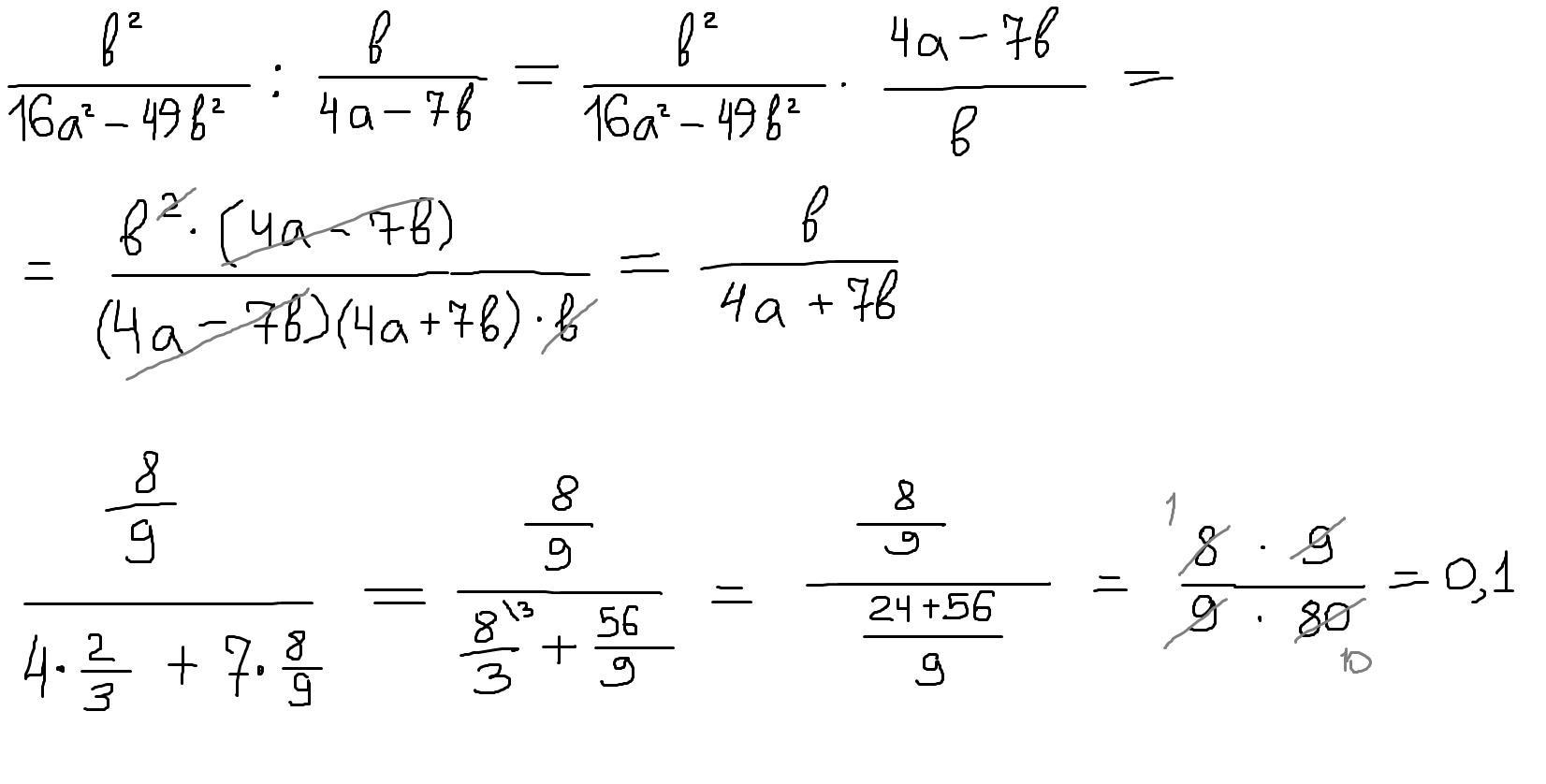
0

Объяснение на фотографии

Приложения:
Ответ дал: Артур998
0
Помогите решить задачу пожалуйста https://znanija.com/task/32513887, желательно с объяснением, если без объяснении , то тоже можете помочь помогите ...Прошу, Вас...
Ответ дал: xxanastasia
0

Ответ:

0,1

Объяснение:

Приложения:
Ответ дал: Артур998
0
Помогите решить задачу пожалуйста https://znanija.com/task/32513887, желательно с объяснением, если без объяснении , то тоже можете помочь помогите ...Прошу, Вас...
Вас заинтересует