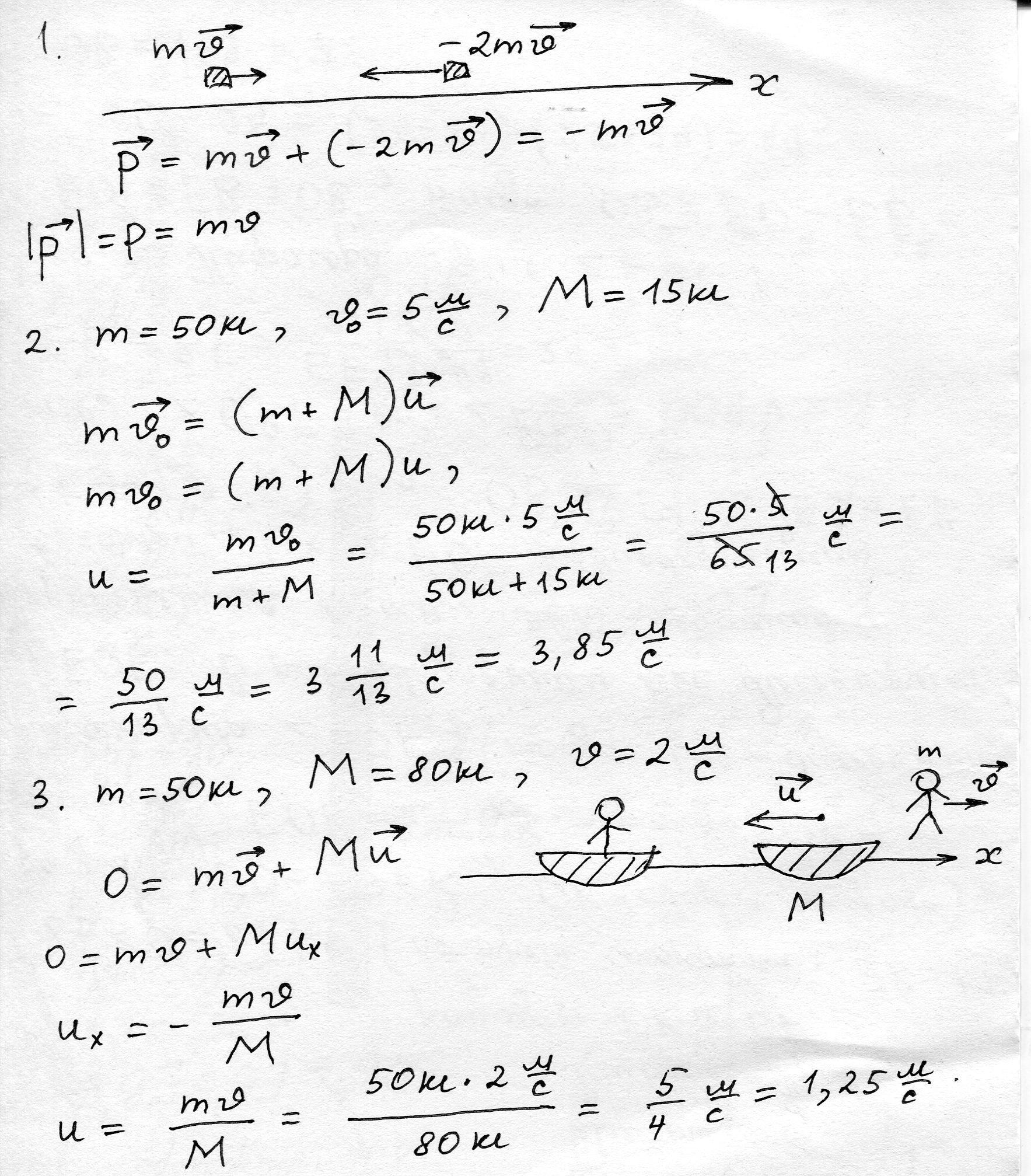
1-Два кубика с массами m и 2m движутся по гладкому столу навстречу друг другу со скоростями,по модулю v .найдите суммарный импульс системы двух кубиков ?
2- мальчик массой 50 кг бежит со скоростью 5м/с,догоняет стоящую тележку массой 15 кг и вскакивает на нее . С какой скоростью станет двигаться тележка с мальчиком после этот?
3- мальчик массой 50 кг сидел в лодке , массой 80 кг , покоящейся на воде . Затем спрыгнул с нее в воду в горизонтальном направлении со скоростью 2 м/с. С какой скоростью стала двигаться по воде лодка после прыжка мальчика?
Ответы
Ответ дал:
0
Я написал решение на листочке ===>>
Приложения:

Вас заинтересует
3 года назад
3 года назад