• Предмет: Математика
  • Автор: grisha9040
  • Вопрос задан 8 лет назад

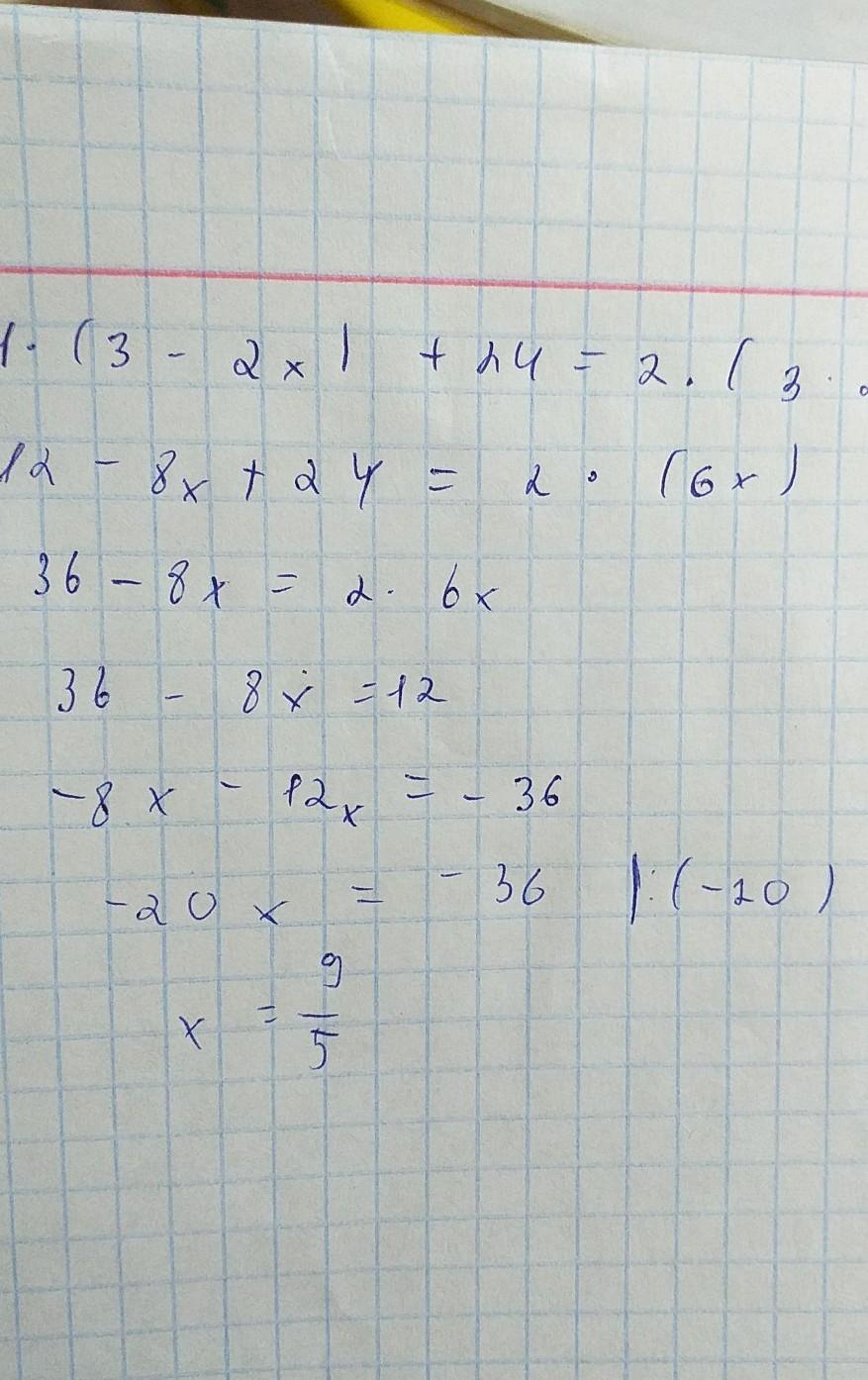
помогите решить 4×(3-2х)+24=2×(3×2х) помогите плиз решить и у вас будет топ везение (кто поможет тому спасибо большое за внимание)​

Ответы

Ответ дал: tanya6999
0

Пошаговое объяснение:

вот так просто!!!!!!!!!!!!

Приложения:
Ответ дал: kaursn
0

4 times (3 - 2x) + 24 = 2 times (3 times 2x)

12 - 8x + 24 = 6 times 4x

36 - 8x = 24x

 - 8x - 24x =  - 36

 - 32x =  - 36

x =  frac{8}{9}

Ответ :

 frac{8}{9}

Приложения:
Ответ дал: jekadva
0
неверно
Вас заинтересует