• Предмет: Математика
  • Автор: alexs5655
  • Вопрос задан 8 лет назад

20 баллов!!!
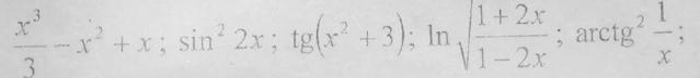
Найдите производные от заданных функций:
я подробным решением

Приложения:

Ответы

Ответ дал: nat59gut81
0

Ответ:

Пошаговое объяснение:1) есть формула  производной ( х^n)'=n*x^(n-1)

у'=3*х^2/3-2x+1=x^2-2x+1

2)  здесь сложная функция  у'=2sin2x*cos2x*2=2sin4x

3)у'=2x/cos^2(x^2+3)

Вас заинтересует