Ответы
Ответ дал:
0
Ответ:
Пошаговое объяснение:
В) 2(х-4)+3х=6*5
2х-8+3х=30
2х+3х=30+8
5х=38
Х=38:5
Х=7,6
Приложения:

Ответ дал:
0
Пример В доделайте
Ответ дал:
0
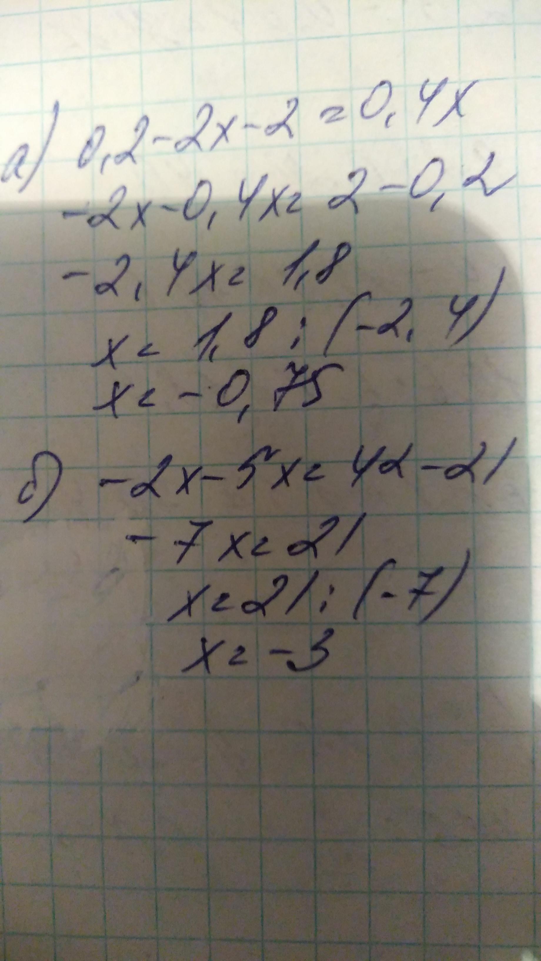
а) 0,2 - 2 * (x + 1) = 0,4x
0,2 - 2x - 2 = 0,4x
-1,8 = 2,4x
x = -0,75
Ответ: x = -0,75
б) 21 - 2x = 5x + 42
7x = -21
x = -3
Ответ: x = -3
в) (x - 4)/3 + x/2 = 5
2x - 8 + 3x = 30
5x = 38
x = 7,6
Ответ: x = 7,6
Приложения:

Вас заинтересует
2 года назад
2 года назад
3 года назад
3 года назад
8 лет назад
8 лет назад
9 лет назад
9 лет назад