• Предмет: Алгебра
  • Автор: Myatabronder78
  • Вопрос задан 8 лет назад

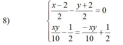
Решите систему уравнений:

Приложения:

Ответы

Ответ дал: mmb1
0

(x-2)/2 - (y+2)/2 = 0 (1)

(x-2 - y - 2)/2 = 0

x - y = 4

x = 4 + y

xy/10 - 1/2 = -xy/10 + 1/2 (2)

xy/10 + xy/10 = 1/2 + 1/2

xy/5 = 1

xy = 5

подставляем из 1

(4+y)y = 5

y^2 + 4y - 5 = 0

D=16+20 = 36 = 6^2

y12=(-4+-6)/2 = - 5   1

y1=-5

x1 = 4 + y = 4 - 5 = -1

y2 = 1

x2= 4+y = 4 + 1 = 5

ответ (-1  -5)  (5  1)

Вас заинтересует