• Предмет: Математика
  • Автор: mariaatwogaman
  • Вопрос задан 8 лет назад

помогите пожалуйста с математикой) 100 баллов) заранее спасибо

Приложения:

Ответы

Ответ дал: takushnir
0

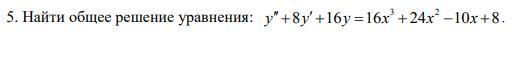
характеристическое уравнение имеет вид к²+4к+16=0, (к+4)²=0, откуда к₁,₂=-4, общее решение однородного ищем в виде

уо.о.=е⁻⁴ˣ*(с₁+с₂*х)

правая часть уравнения - многочлен третьей степени, ноль не является корнем  характеристического уравнения, поэтому частное решение неоднородного ищем в виде уч.н.=ах³+вх²+сх+д, где коэффициенты а, в, с, д подлежат определению.

Найдем первую и вторую  производные уч.н. и подставим в исходное уравнение. первая производная  игрек штрих равна 3ах²+2вх+с, вторая производная равна 6ах+2в,

подставим производные в уч.н., получим 6ах+2в+24ах²+16вх+8с+16ах³+16вх²+16сх+16д=16х³+24х²-10х+8, приравняем коэффициенты при одинаковых степенях переменных, получим при х³

16а=16, откуда а=1, при х² имеем 24а+16в=24, значит, в=0, при х получаем

6а+16в+16с=-10, 6+16с=-10; и с=-1, при х в  нулевой степени получим

2в+8с+16д=8, откуда -8+16д=8, д=1

Итак, уч.н.=х³-х+1, а общее решение неоднородного уравнения состоит из частного решения неоднородного и общего решения однородного, т.е. У=уо.о.+уч.н.

У=е⁻⁴ˣ*(с₁+с₂*х)+х³-х+1

Вас заинтересует