• Предмет: Алгебра
  • Автор: KOT563
  • Вопрос задан 8 лет назад

могите
Постройте График Функции:
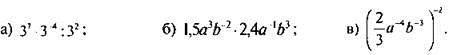
+ упростите выражение:

Приложения:

Ответы

Ответ дал: kebab44
0
1.5a³b²×2.4a⁴b³=3.6³+⁴b²+³=3.6a⁷b⁵
Вас заинтересует