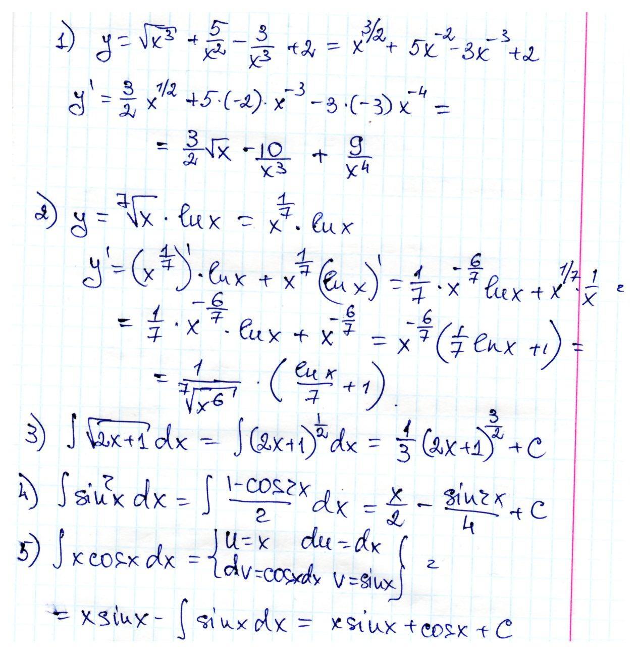
Срочно!! Ребята кто поможет
Нужно найти производную функции
Вычислить интеграл
Ниже фото
Простите за качество
Приложения:

Ответы
Ответ дал:
0
Ответ:
Пошаговое объяснение:
Увидел как мог (на счет первого). Остальные - видно нормально.
Приложения:

Вас заинтересует
2 года назад
3 года назад
8 лет назад
8 лет назад