• Предмет: Алгебра
  • Автор: TheStrike666
  • Вопрос задан 8 лет назад

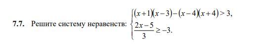
Помогите решить.
Надо ли строить прямую и обозначать на ней промежутки?

Приложения:

Ответы

Ответ дал: takushnir
0

Думаю, что аналитического решения вполне достаточно. Упростим первое неравенство и решим его. х²-3х+х-3-х²+16больше 3

х²-х²-2х+16-3-3 больше 0

10-2хбольше 0, х меньше 5

решим второе неравенство.

2х-5больше -9

2хбольше -4

хбольше -2

ответом является x∈[-2;5)

Хотя графически свое решение тоже можно подтвердить. У меня такой возможности, к сожаленью, нет.

Вас заинтересует