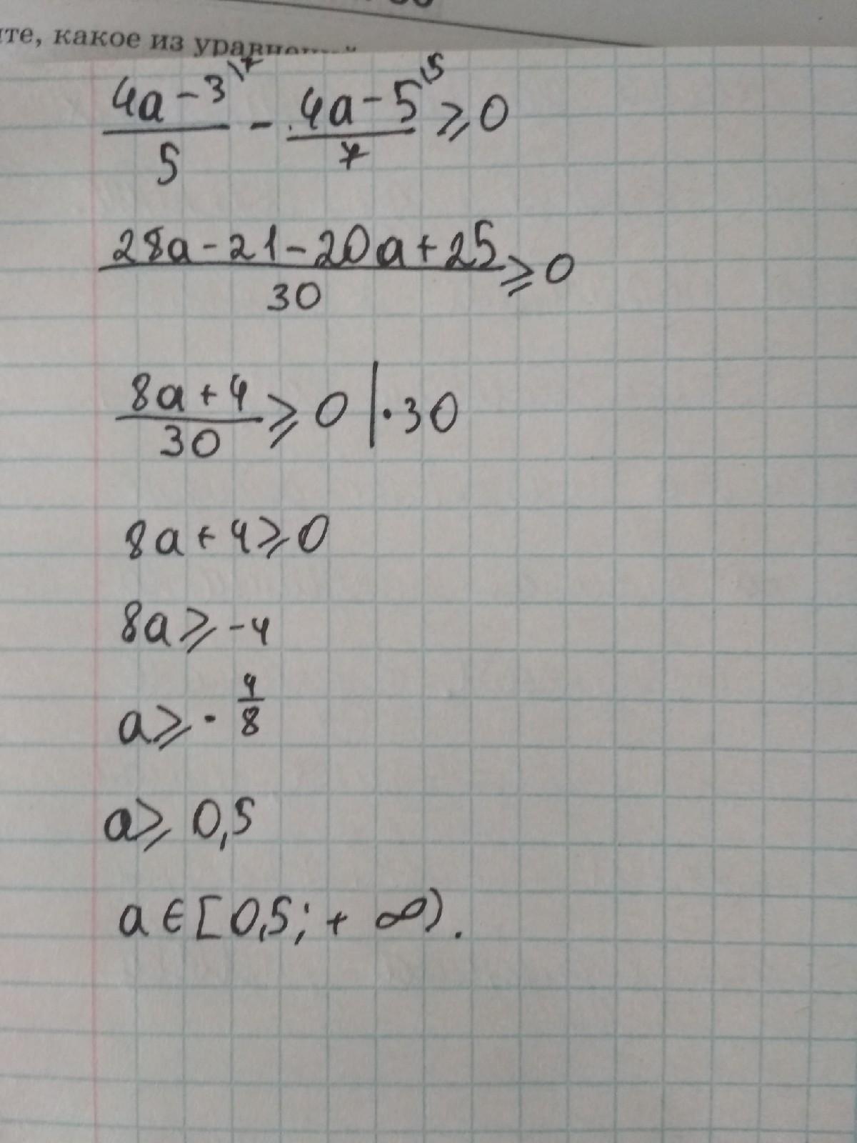
Определите, при каких значениях переменной разность дробей (4a-3)/5 и (4a-5)/7 неотрицательна. Пожалуйста расскажите хотябы кратенько, буквально в двух словах, ход решения.
Приложения:

Ответы
Ответ дал:
0
Ответ: а принадлежит от -0,5 до +бесконечности
Объяснение:*я там минус к 0.5 забыла написать
Приложения:

Ответ дал:
0
Спасибо, теперь поняла свою ошибку. И вы немного не правильно посчитали знаменатель
Вас заинтересует
2 года назад
3 года назад
8 лет назад
8 лет назад