• Предмет: Алгебра
  • Автор: dmitri1972
  • Вопрос задан 8 лет назад

Теория вероятностей элементы комбинаторики

Приложения:

Ответы

Ответ дал: name20name
0

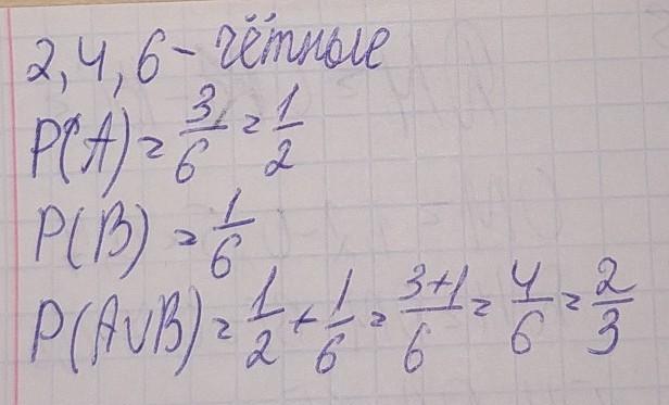
.............................

Приложения:
Ответ дал: dmitri1972
0
откуда взялась цифра 3+1
Ответ дал: name20name
0
6:2=3
Ответ дал: name20name
0
6:6=1
Вас заинтересует