Ответы
Ответ дал:
0
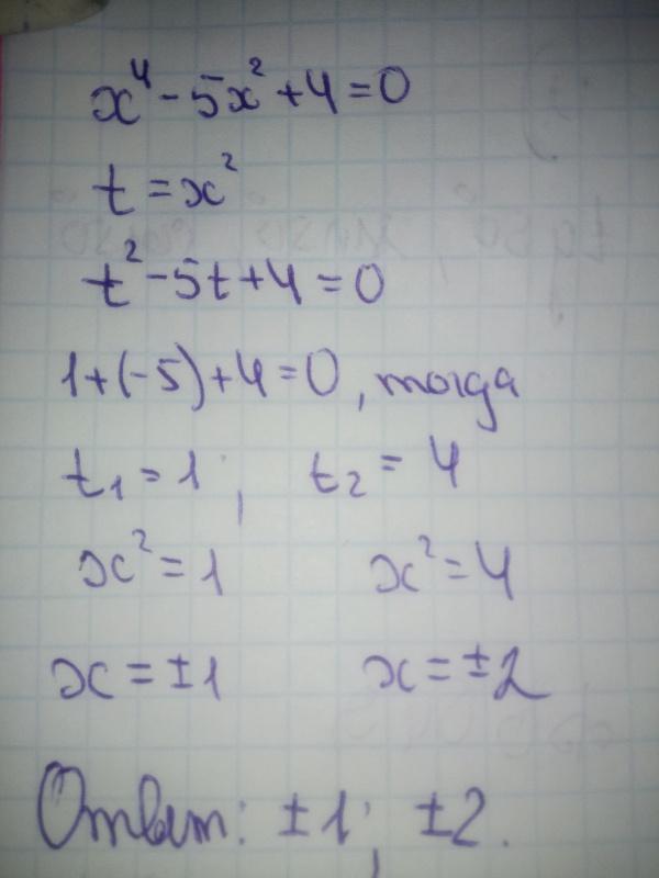
Решение задания приложено
Приложения:

Ответ дал:
0
Ответ:
Объяснение:
X^4-5x^2+4=0
x^2=t [ то есть мы х^2 заменяем на t }
и тогда получаем уравнение:
t^2-5t+4=0
D= 5^2-4*4 = 9
t1=(5+3)/2=4
t2=(5-3)/2=-1
теперь подставляем получившиеся значения:
x^2=t1 ; x^2=4
x^2=t2 ; x^2=1
Ответ: x1=+2; x2=-2; x3=1; x4=-1
Приложения:

Ответ дал:
0
1, не - 1
Ответ дал:
0
Не совсем понял
Ответ дал:
0
Описка, просто поправить
Ответ дал:
0
а понял)
Ответ дал:
0
t2=(5-3)/2=-1 (получается не -1, а 1)
Вас заинтересует
2 года назад
2 года назад
3 года назад
3 года назад
8 лет назад
9 лет назад
9 лет назад