• Предмет: Алгебра
  • Автор: kreikjk
  • Вопрос задан 8 лет назад

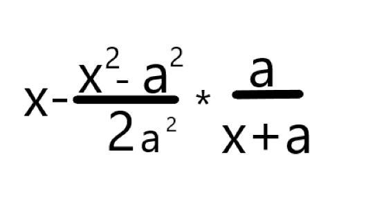
упростите выражения

Приложения:

Ответы

Ответ дал: elmaster93
0

 x -  frac{x ^{2} - a ^{2}  }{2a ^{2} }  times  frac{a}{x + a}     \ x -  frac{(x - a) times (x + a)}{2a}  times  frac{1}{x + a}  \ x -  frac{x - a}{2a}  \  frac{2ax - (x - a)}{2a}  \  frac{2ax - x + a}{2a}
Ответ дал: 21fizika
0

1) (х-а)(х+а)*а/(х+а)*2а²=(х-а)/2а

2) х -  (х-а)/2а=(2ах-х+а)/2а

Вас заинтересует