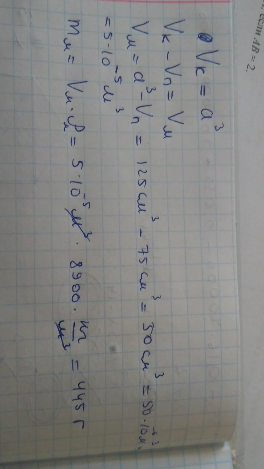
Медгый куб со стороной a=5 см имеет веутри полость обьемом 75 см^3(^3 - в третьей степени).Определите массу куба если плотность меди равна 8900 кг/м^3
ПОМОГИИТЕЕ ПРОШУУУУУУУУУУУ
Ответы
Ответ дал:
0
Должно быть так...................
Приложения:

Вас заинтересует
2 года назад
2 года назад
3 года назад
8 лет назад
8 лет назад
9 лет назад
9 лет назад