• Предмет: Алгебра
  • Автор: Svyatoslav359
  • Вопрос задан 8 лет назад

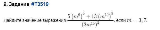
Здравствуйте, помогите с задачкой. С подробным решением.

Приложения:

Ответы

Ответ дал: shield2003
0

Ответ: при раскрытии скобок получается выражение (5m^30+13m^30)/4m^30

Выносим в числителе общий множитель, получается

m^3p(5+13)/4m^30

M^30 сокращаются, получается

18/4=4,5

Ответ дал: Svyatoslav359
0
Спасибо, забыл в знаменателе 2-ку возвести в степень, думал в чем проблема. Спасибо!
Вас заинтересует