Ответы
Ответ дал:
0
Ответ:
Пошаговое объяснение:
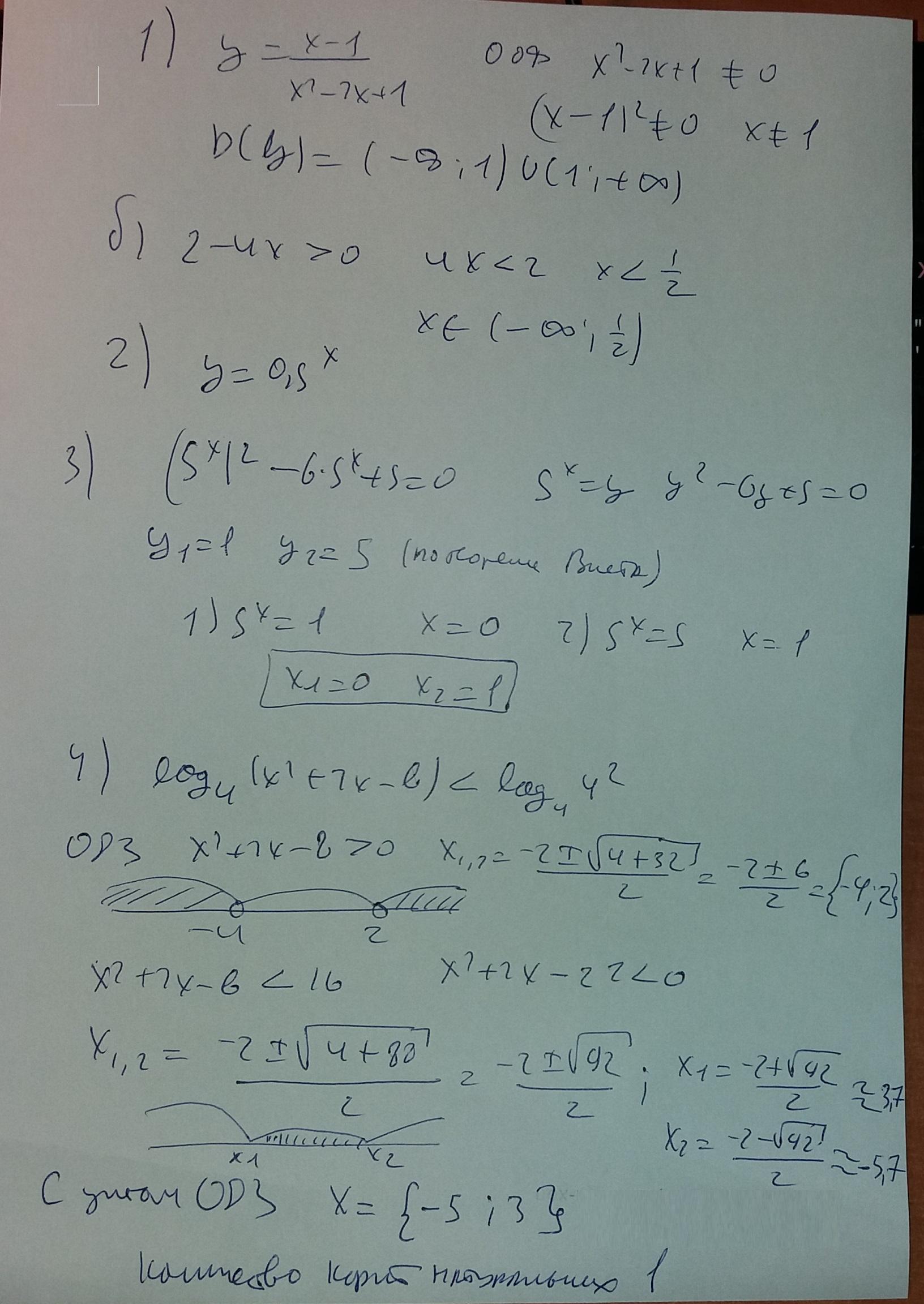
Приложения:



Ответ дал:
0
Спасибо
Вас заинтересует
2 года назад
3 года назад
3 года назад
9 лет назад