• Предмет: Математика
  • Автор: nikmi98
  • Вопрос задан 8 лет назад

4.Решите уравнение. Помогите пожалуйста!)

Приложения:

Ответы

Ответ дал: mariigorba4eva
0

только 3 задания.....

Приложения:
Ответ дал: Maryam2507
0
привет
Ответ дал: Maryam2507
0

Ответ:

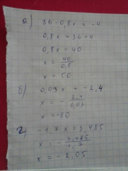
А) 36-0,8x=-4

0,8x=36-4

0,8x=32

x=32:0,8

x=40

Ответ:40

Б)0,03x=-2,4

x=-2,4:0,03

x=-80

Ответ:-80

В)-0,007x=28

x=28:(-0,007)

x=-4000

Ответ:-4000

Г)-1,7x=3,485

x=3,485:(-1,7)

x=-2,05

Ответ:-2,05

Д)-13:x=-0,2

x=-13:(-0,2)

x=65

Ответ:65

Е)-40:a=-0,8

a=-40:(-0,8)

a=50

Ответ:50

Удачиииии!!!!

Приложения:
Ответ дал: Аноним
0
я азербайджанка
Ответ дал: Аноним
0
Привет
Ответ дал: Аноним
0
как ты
Ответ дал: Аноним
0
Марьямм
Ответ дал: Аноним
0
Марьям как ты
Вас заинтересует