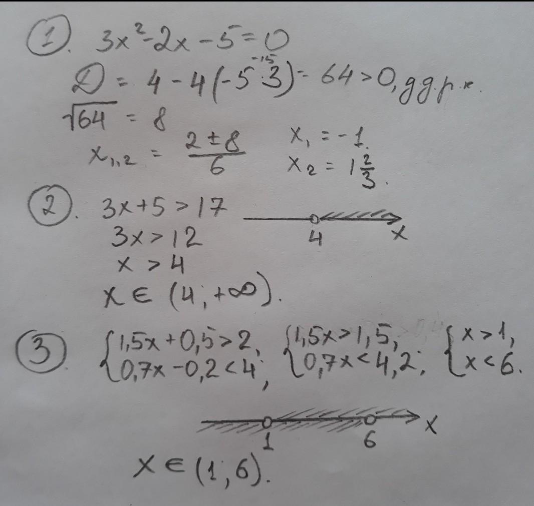
1. Решите квадратное уравнение 3x²-2x-5=0
2. Решите неравенство 3x+5>17
3. Решите неравенство {1.5x+0.5>2
{0.7x-0.2<4
Ответы
Ответ дал:
0
решение во вложении....
Приложения:

Вас заинтересует
2 года назад
3 года назад
8 лет назад
9 лет назад