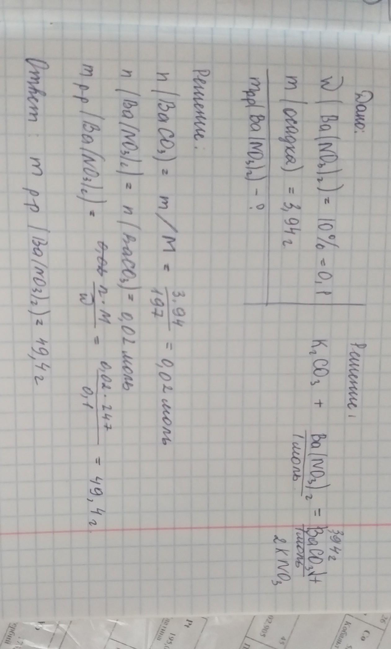
При взаимодействии избытка раствора карбоната калия с 10%-ным раствором нитрата бария выпало 3,94 г осадка. Определить массу взятого для опыта раствора нитрата бария. Дано и ответ .
Ответы
Ответ дал:
0
лмшнсшнснпишишишивовщвовшволвтвтвлвладад
Приложения:

Вас заинтересует
2 года назад
3 года назад
3 года назад
8 лет назад
9 лет назад