Ответы
Ответ дал:
0
Приложенный файл должен всё объяснить.
Приложения:

Ответ дал:
0
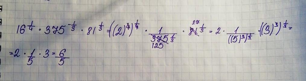
Ответ:
Всё реешние в приложении
Объяснение:
1)При отрицательной степени, дробь переварачивается
2)16=2⁴
3)375 и 81 делятся на 3
4)125=5³
5)27=3³
Приложения:

Вас заинтересует
2 года назад
2 года назад
8 лет назад
8 лет назад
9 лет назад