• Предмет: Математика
  • Автор: 111ЛИЗА1111
  • Вопрос задан 8 лет назад

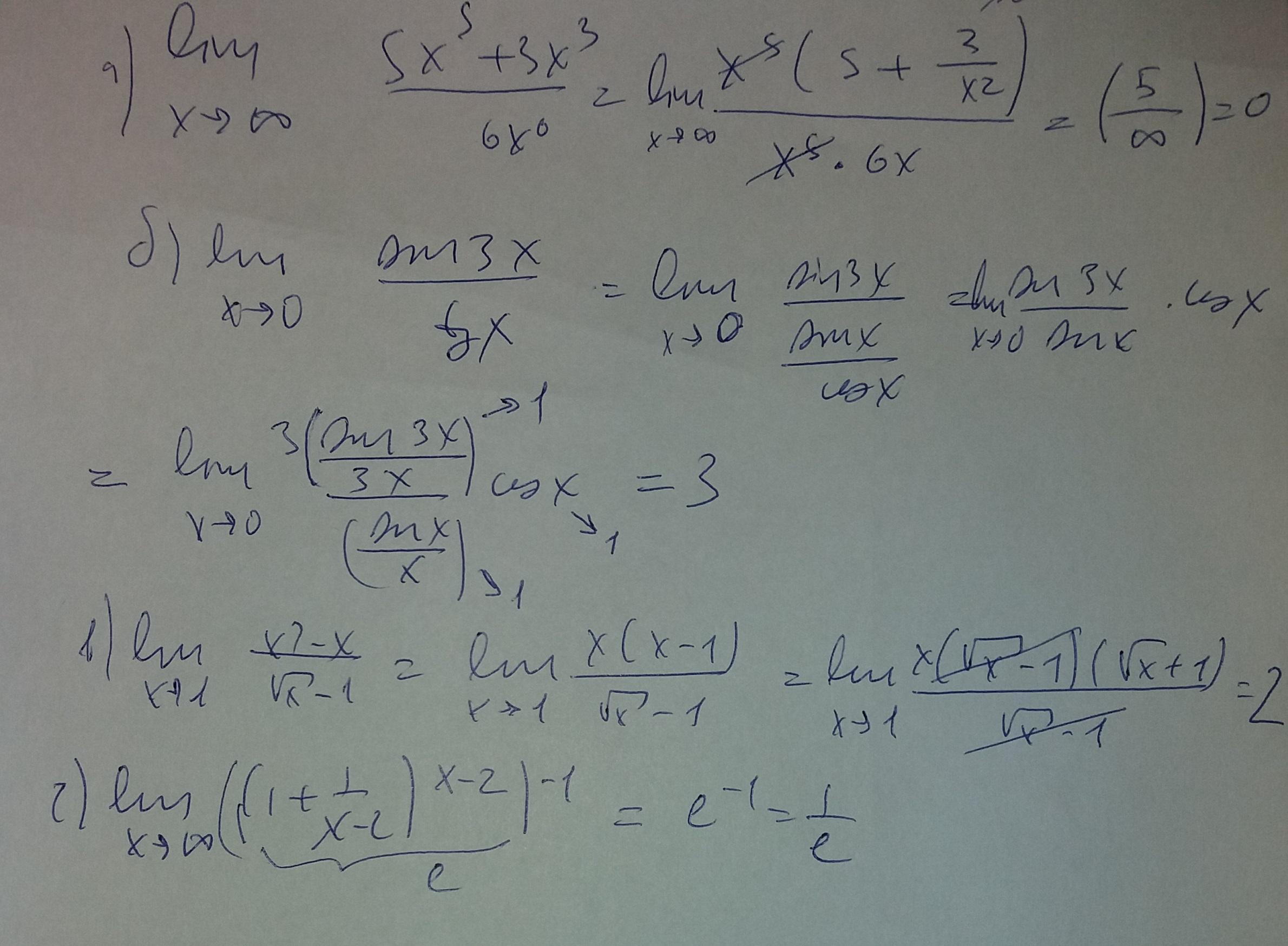
помогите с математикой

Приложения:

Ответы

Ответ дал: bena20193
0

Ответ:

Пошаговое объяснение:

Приложения:
Ответ дал: 111ЛИЗА1111
0
Большое спасибо!!!
Ответ дал: 111ЛИЗА1111
0
Подскажите ,вы репетитор, преподаватель?
Ответ дал: 111ЛИЗА1111
0
Как с вами связаться?
Вас заинтересует