• Предмет: Математика
  • Автор: Heast
  • Вопрос задан 8 лет назад

МАТАН! Помогите решить пожалуйста.

Приложения:

Ответы

Ответ дал: Хуqожнuк
0

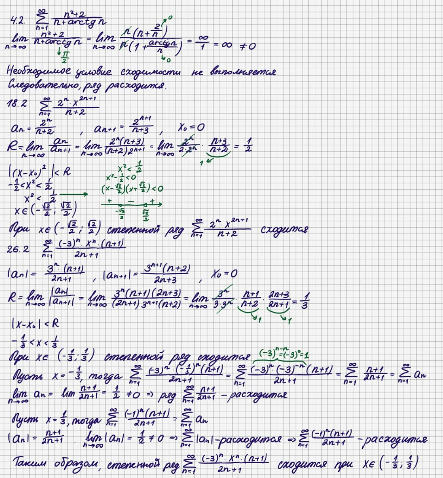
Решение во вложении.

Приложения:
Вас заинтересует