• Предмет: Алгебра
  • Автор: afar2
  • Вопрос задан 8 лет назад

Помогите пожалуйста<3

Приложения:

Ответы

Ответ дал: kseniakaprenko01
0

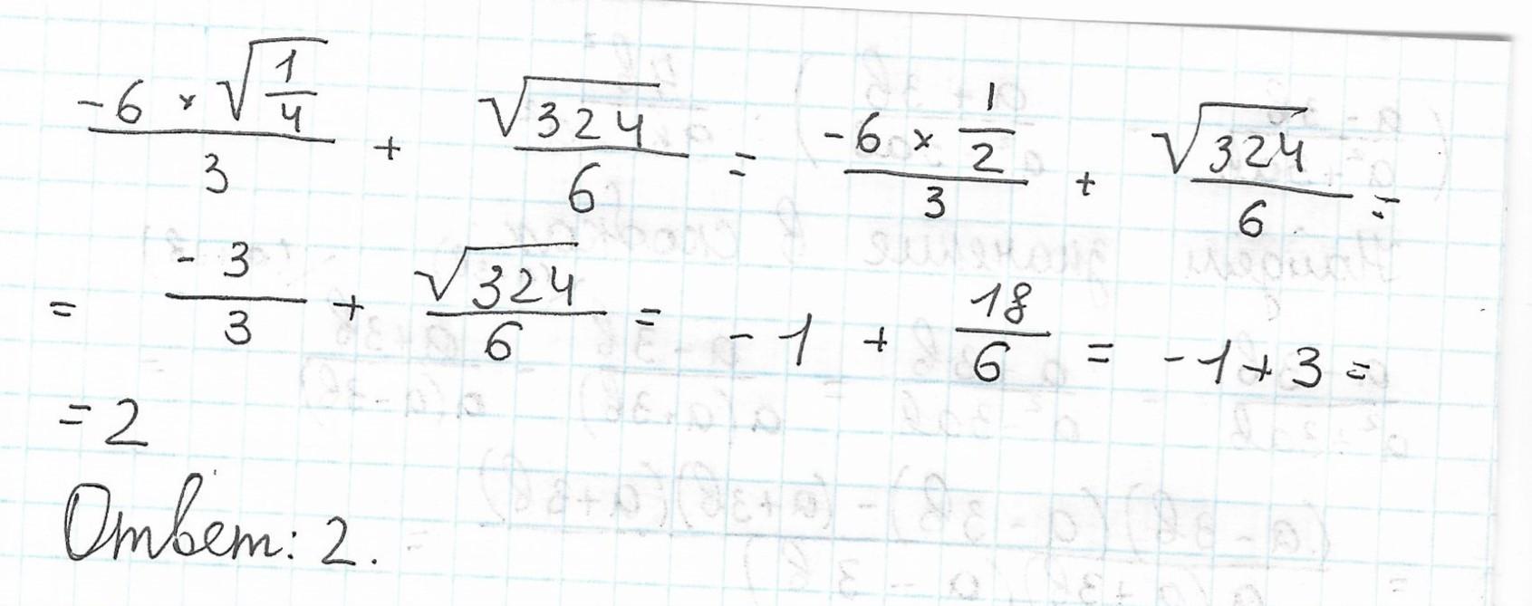
Решение в прикрепленном файле.

Ответ: 2

Приложения:
Ответ дал: afar2
0
Спасибо огромное
Вас заинтересует