Ответы
Ответ дал:
0
Ответ:
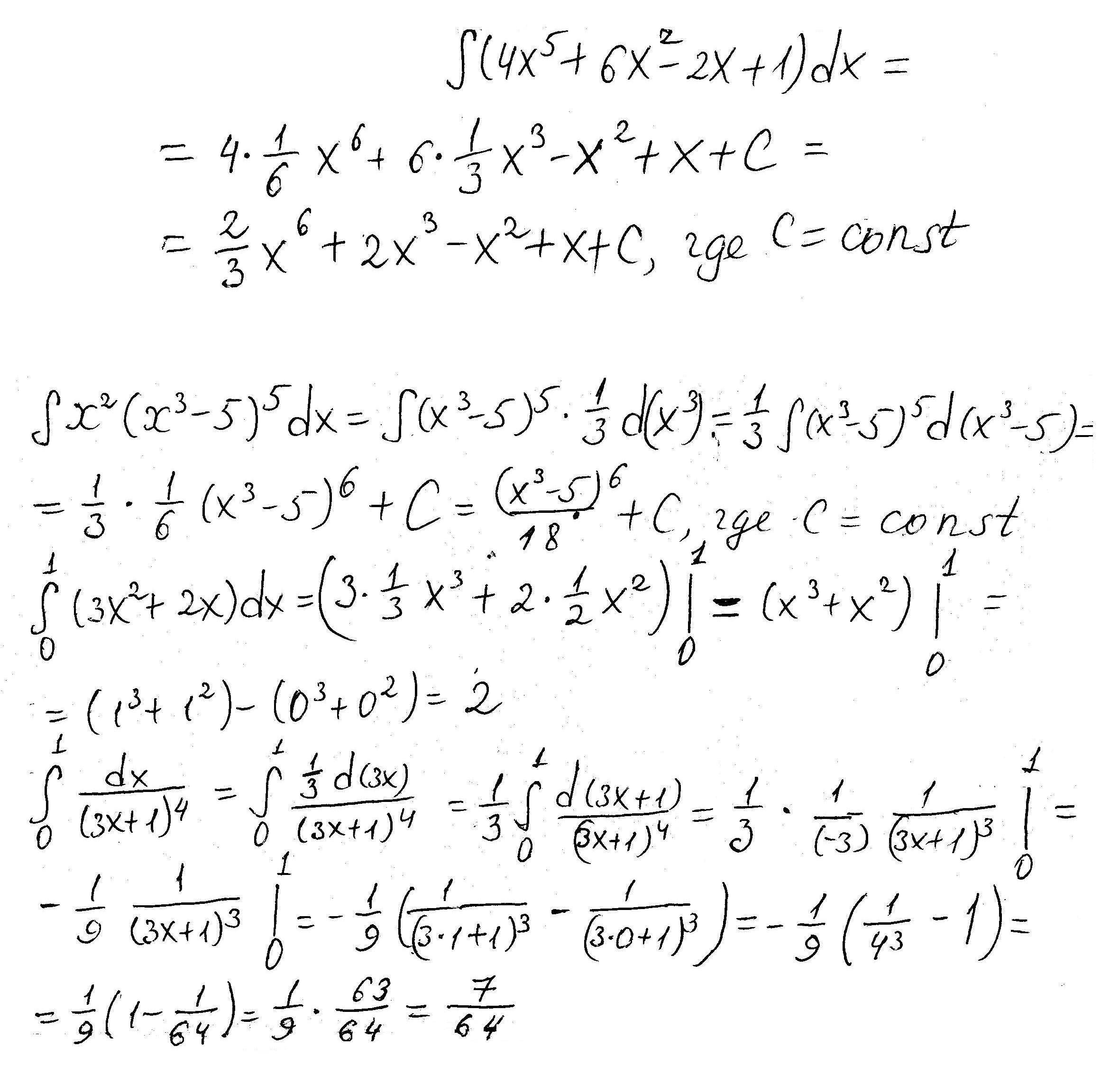
а) где C=const
б) где C=const
в) 2
г)
Пошаговое объяснение:
Решение в приложении
Приложения:

Вас заинтересует
2 года назад
2 года назад
3 года назад
3 года назад
8 лет назад
8 лет назад
9 лет назад
9 лет назад