• Предмет: Математика
  • Автор: nikitkasergeev77
  • Вопрос задан 8 лет назад

производная y=x-1/√x​

Ответы

Ответ дал: lubanya75
0

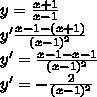
Ответ:

Пошаговое объяснение:

Приложения:
Вас заинтересует