Ответы
Ответ дал:
0
Ответ:
Объяснение:
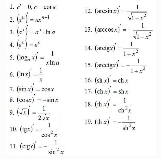
Найдите производную функции y=x^8
y'=8x^7
Приложения:

Ответ дал:
0
Можно решение
Вас заинтересует
2 года назад
2 года назад
3 года назад
8 лет назад
8 лет назад
9 лет назад