• Предмет: География
  • Автор: Pastim
  • Вопрос задан 8 лет назад

Решите пж дам 10 руб в киви ​

Приложения:

Ответы

Ответ дал: KUKU2321
0

Ответ:

a=1  b=-2

Объяснение:

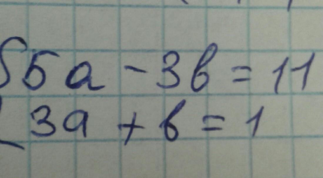
5a-3b=11

b=1-3a    подставим в первое уравнение

5a-3(1-3a)=11

b=1-3a

5a-3+9a=11

b=1-3a

14a=14

b=1-3a

a=1

b=1-3*1=-2

Вас заинтересует