Ответы
Ответ дал:
0
Ответ:
3/4
Пошаговое объяснение:
т.к a - принадлежит первой четверти, то 0< a< π/2, a sin a > 0
по основному тригонометрическому тождеству sin^2 a = 1 - cos^2 a =
= 1-(16/25) = 9/25
sin a = (√9/25) = 3/5
tg a = sin a / cos a = (3/5)/(4/5) = 3/4
Ответ дал:
0
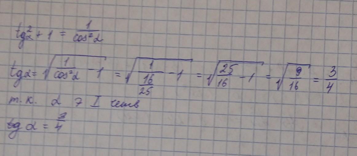
смотри решение на фото
Приложения:

Вас заинтересует
2 года назад
2 года назад
3 года назад
3 года назад
8 лет назад
8 лет назад
9 лет назад
9 лет назад