• Предмет: Математика
  • Автор: eshiniyazova
  • Вопрос задан 8 лет назад

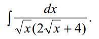
Помогите найти неопределенный интеграл! Нужно подробное решение с пояснением!

Приложения:

Ответы

Ответ дал: bena20193
0

Ответ:

Пошаговое объяснение:

Приложения:
Вас заинтересует