• Предмет: Математика
  • Автор: platonlogvinof
  • Вопрос задан 8 лет назад

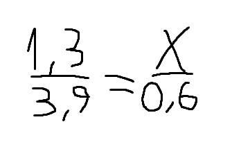
Найдите неизвестный член пропорции

Приложения:

Ответы

Ответ дал: kirilllololoshcka
0

Ответ:0,2

Пошаговое объяснение:1) 1,3×0,6:3,9=0,2

Вас заинтересует