• Предмет: Алгебра
  • Автор: anastaciarocha
  • Вопрос задан 8 лет назад

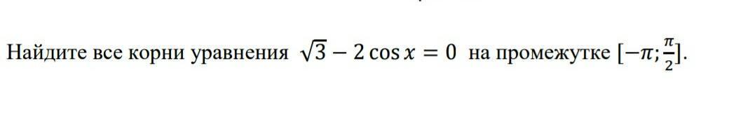
Помогите с заданием! Срочно! Даю 50 баллов.

Приложения:

Ответы

Ответ дал: помогайка555
0

РЕШЕНИЕ В ПРИЛОЖЕНИИ.................

Приложения:
Вас заинтересует