Ответы
Ответ дал:
0
Ответ:
Пошаговое объяснение:
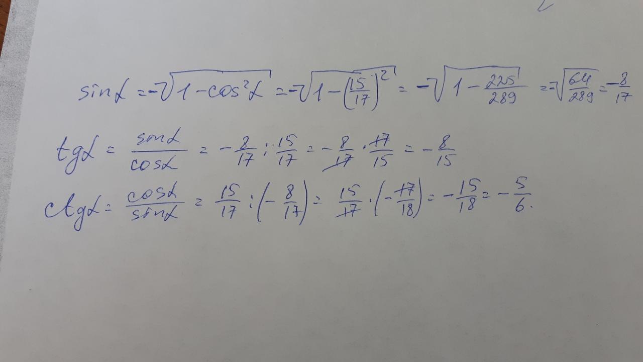
синус в 4 четверти отрицательный
из основоного триг тождества
sin^2+cos^2=1
sin=sqrt(1-cos^2)=sqrt(1-(15/17)^2)=sqrt(17^2-15^2)/17=+- 8/17
sin= -8/17
tg=sin/cos=-8/15
ctg=1/tg=-15/8
Ответ дал:
0
Ответ:
Пошаговое объяснение:
Приложения:

Вас заинтересует
2 года назад
3 года назад
3 года назад
8 лет назад
8 лет назад
9 лет назад