• Предмет: Алгебра
  • Автор: Orimir
  • Вопрос задан 8 лет назад

Пошагово, пожалуйста
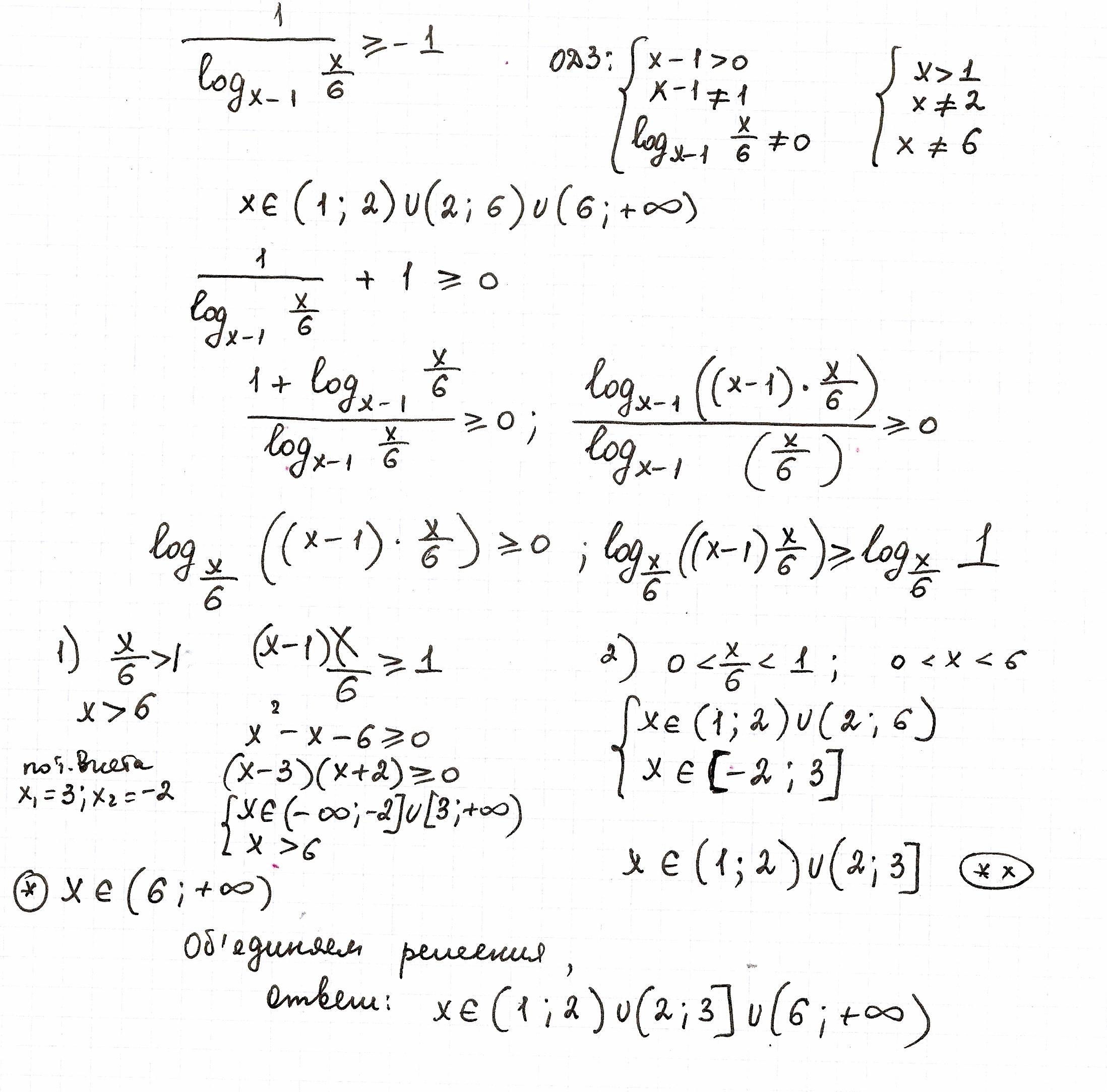
frac{1}{log(x-1)frac{x}{6} } geq -1

Ответы

Ответ дал: maksimcat
0

Ответ:

Объяснение:

ответ на фото\\\\\\\\\\\\\\\\\\\\\\\\\\\\\\\\\

Приложения:
Вас заинтересует