Ответы
Ответ дал:
0
Ответ:
Пошаговое объяснение:
Приложения:


Ответ дал:
0
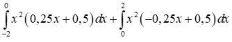
Найдем первый интеграл от функции 0.25х³+0.5х², потом проставим нижний и верхний пределы и по формуле Ньютонаа -Лейбница найдем сумму.
Первый интеграл равен 0.25х⁴/4+0.5х³/3 Верхний предел дает нуль, отнимем от него нижний, получим -( 16*0.25+0.5*(-8/3))=4/3-4
найдем теперь второй. он равен -0.25х⁴/4+0.5х³/3
в нижнем пределе нуль. а в верхнем -4+4/3
Если сложить интегралы, то получим 8/3-8
Приложения:


Вас заинтересует
2 года назад
3 года назад
8 лет назад