• Предмет: Математика
  • Автор: dgfgtruug
  • Вопрос задан 8 лет назад

объясните пожалуйста

Приложения:

Ответы

Ответ дал: table123
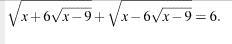
0

Ответ:17  и  18

Пошаговое объяснение:

Возведем обе части в квадрат по фор-ле  (a+b)^2=a^2+2ab+b^2,

x+6Vx-9+2(Vx+6Vx-9) *( Vx-6Vx-9 + x-6Vx-9))=36,  V-корень,    (Va)^2=a,

2x+2(x^2-36(x-9))=36, сократим на2,  x+x^2-36x+324-18=0,  x^2-35x+306=0,

D=1225-4*306=1,  x=18  или x=17,  оба корня подходят по ОДЗ, то, что стоит под корнем >=0

Вас заинтересует