• Предмет: Математика
  • Автор: alyevelmir
  • Вопрос задан 8 лет назад

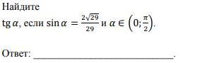
как решать
помогите !111

Приложения:

Ответы

Ответ дал: nyusha1990
0

Ответ:

Пошаговое объяснение:

tg-альфа будет положительным,т.к угол будет находится в первой четверти.

sin^2+cos^2=1

cos^2=1-(2корень29/29)^2

cos^2=725/841

сos=корень725/29

Теперь найдем сам tg=sin/cos

tg=2корень29/29 /корень725/29=2/5=0,4

Ответ:0,4

Вас заинтересует