Помогите! 50 баллов!
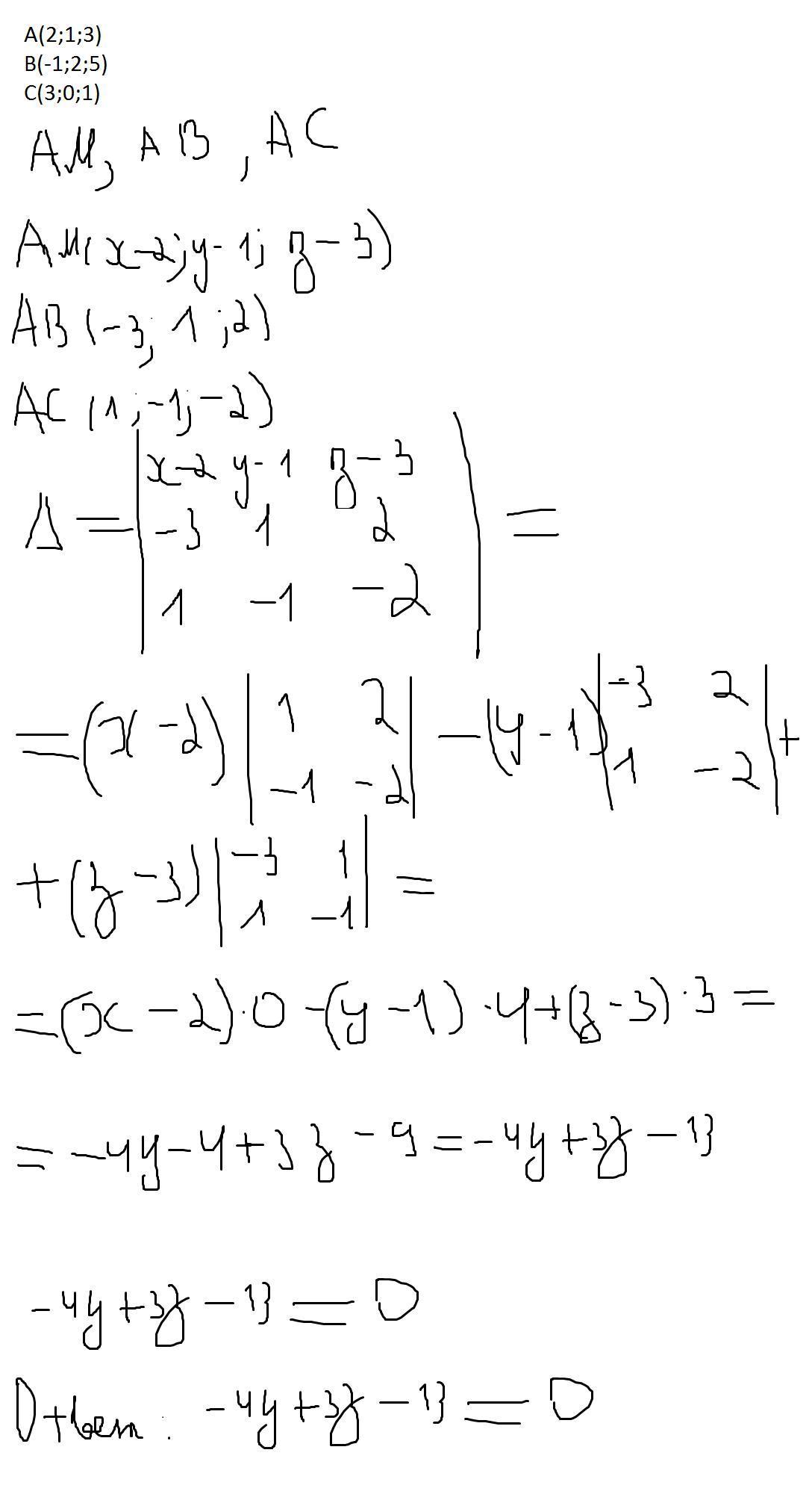
Составте уравнение плоскости проходящей через точки A(2;1;3) B(-1;2;5) C(3;0;1)
Ответы
Ответ дал:
0
Ответ:
Объяснение:
вот и все
Приложения:

Вас заинтересует
2 года назад
2 года назад
3 года назад
8 лет назад
8 лет назад
9 лет назад