Ответы
Ответ дал:
0
Ответ:
Объяснение:
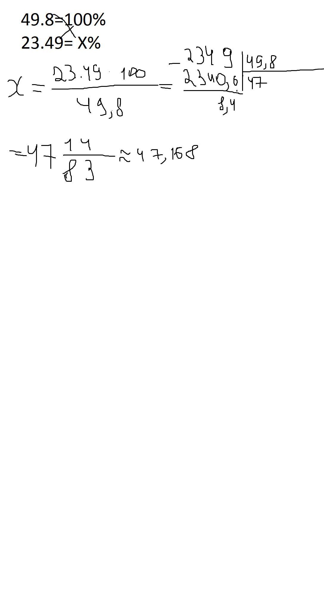
х=(23.49*100):49.8≈47%
Ответ дал:
0
Ну приблизительно такой ответ
Ответ дал:
0
Спасибо
Ответ дал:
0
пожалуйста
Ответ дал:
0
проверьте свое условие
Ответ дал:
0
Ответ:
Объяснение:
Плохой пример но вот
Приложения:

Вас заинтересует
2 года назад
2 года назад
3 года назад
8 лет назад
9 лет назад
9 лет назад